| 
◇ 作家:中国东谈主民银行广东省分行国库处 廖奉城
中国东谈主民银行江门市分行国库科 赵哲
中国东谈主民银行中山市分行国库科 吴泱
◇ 本文原载《债券》2024年10月刊
摘 要
21世纪以来,在金融危急与疫情冲击下,英国债务风险激增。为探讨英国政府债务景色,本文分析其债务静态目标,并评估中期债务可不竭性。接洽发现,英国赤字率、债务率等主要债务风险目标均出现不同进程的异动,英国多个地方政府文书骨子性收歇。通过预期爽约率(KMV)模子评估,2023—2024财年及2024—2025财年,英国政府债务可不竭性较好。鉴戒英国训戒,我国需全面范例地方举债算作,妥当化解地方政府债务风险;合理漫衍债务到期时分,优化债务期限结构,裁减债务偿付压力;协同鼓吹政府债务管制与经济高质地发展。
关键词
英国 中央政府债务 KMV模子 地方政府债务 债务可不竭性
英国事典型的单一制中央集权国度,自2020年疫情暴发以来,在高通胀、高欠债、高利率三重压力下,英国政府欠债率较高。部分地方政府诈欺财政资金参与的投资出现失败,地方财政难以为继,接踵文书收歇。2024年,英国议会下议院流露财政审查结束,首相办公室发表声明默示,审查结束显现英国依然“收歇和杂然无章”;新任财政大臣进一步称,前任保守党政府躲避专家财政真确情况,留住220亿英镑财政蚀本。本文试图真切分析英国政府债务各种风险目标变化以及债务可不竭脾气况,为当下我国驻守化解政府债务风险提供鉴戒,并为我国协同鼓吹政府债务管制与经济高质地发展提供参考。
文件综述
国内学者对英国政府债务的接洽集结在债务管制机制和债务风险防控两个方面。一是英国政府债务管制机制。中国东谈主民银行武汉分行国库处课题组(2012)指出,英国中央政府集权进程高,地方政府举债需获取中央政府批准且弗成用于经济性开销。李明(2019)觉得,英国地方政府债务监管的特性是设立专职机构债务管制办公室、建立债务核算体系、设定举债限定目标、制定偿债准备金轨制。二是英国政府债务风险防控。郑之杰(2018)指出,20世纪英国屡次出现政府债务率飙升的景色,但英国政府均灵验裁减了政府债务杠杆。池柳怡等(2021)分析2012—2019年英国地方政府债务总量及结构,提议了英国地方政府债务风险体当今债务压力日渐增多、地方政府融资过于依赖专家工程贷款委员会等不雅点。
要而论之,表面界对于英国政府债务的接洽较少从债务静态目标、债务成因和债务可不竭等维度,系统探讨英国政府债务风险。同期,已有接洽均为定性分析,尚未触及实证接洽。因此,本文真切判辨英国政府债务景色尽头成因,以期进一步丰富世界主要经济体的政府债务接洽恶果,拓宽我国政府债务管制的接洽视线。
21世纪以来的英国政府债务简略
(一)债务余额分析:在金融危急与新冠疫情冲击下,英国政府债务余额接连冲突10000亿与20000亿英镑大关
21世纪以来,英国政府债务余额冲突10000亿与20000亿英镑大关,这主要来自两个驱上路分。一是金融危急。2000—2008年,英国政府债务余额保持在4000亿元~7000亿英镑1。金融危急后,英国专家财政景色急剧恶化,财政赤字快速攀升,2008年、2009年财政赤字分别为822亿英镑、1564亿英镑。受此影响,2008—2010年集结3年政府债务余额同比增速逾越20%,并于2009年冲突10000亿,达10054亿英镑,而后陆续攀升。二是新冠疫情。面对疫情冲击,英国实施了一系列宽松财政政策,仅在减少疫情对企业影响方面,就提供了绝顶于国内分娩总值(GDP)15%的企业贷款,导致财政赤字再度攀升。2020年,英国财政赤字达2765亿英镑,约为疫情前2019年的4倍。受此影响,2020年,英国政府债务余额冲突20000亿,达22263亿英镑;而后政府债务余额陆续攀升,2023年已达27191亿英镑。
(二)欠债率分析:英国政府欠债率从不到40%升至超100%,欠债率高于欧盟平均水平
2000—2008年,英国政府欠债率不竭低于《马斯特里赫特公约》商定的60%。2008年海外金融危急爆发后,英国政府欠债率从2007年的43.2%升至2009年的64.9%,一举冲突60%的告诫线。而后几年,在基数普及的布景下,英国政府欠债率也举座呈高潮态势。2020年新冠疫情暴发后,英国政府欠债率从2019年的85.7%飙升至2020年的105.8%,而后集结3年政府欠债率均逾越100%。2023年,英国政府欠债率为101.1%(见表1)。按照海外货币基金组织(IMF)统计的列国政府债务数据,2022年,英国政府欠债率超出欧盟平均水平9.4个百分点,但低于七国集团(G7)国度平均水平27.6个百分点。
(三)债务结构分析:英国中央政府债务占比逾越99%,地方政府债务占比极低
英国中央政府享有纳税权和发债权力,地方政府不享有零丁的纳税权和举债权。由英国财政部成立的债务管制办公室向地方政府提供贷款,因此英国政府债务主要集结在中央政府。自2000年以来,英国中央政府债务余额占其政府债务举座余额的比重就不竭逾越97%,并自2020年以来不竭逾越99%。2023年,英国中央政府债务余额达27041亿英镑,占政府债务举座余额的99.4%。地方政府由于受到严格的举债方式和金额限定,固然其债务余额逐年高潮,但占政府债务举座余额的比重却逐年下跌。2000—2023年,地方政府债务余额从531亿英镑升至1226亿英镑,占比却从12.8%降至4.5%2。
(四)债务体式分析:英国政府债务中债券占比近九成,其中指数挂钩债券占比逾越1/4
英国政府债务主要包括政府债券、现款和进款及贷款三种体式。结束2023年9月末,英国政府债务中,政府债券余额为23456亿英镑,占比88.4%,其中流畅中政府债券余额为22975亿英镑。政府债券进一步细分为传统债券、指数挂钩债券3和国库券。2023年9月末,传统债券、指数挂钩债券、国库券余额分别为16286亿英镑、5975亿英镑、715亿英镑,占流畅中政府债券的比重分别为70.9%、26.0%、3.1%。自2000年以来,英国指数挂钩债券占流畅中政府债券的比重就不竭高于20%。据彭博社统计,2023年末英国指数挂钩债券占GDP的比重达24.5%,在G7国度中名次第一。
英国政府债务的风险问题
(一)英国政府债务风险快速攀升,主要债务风险目标均出现不同进程的异动
一是从赤字率看,自2001—2002财年4以来,英国政府已集结22个财年出现财政赤字,其中有14个财年赤字率逾越3%。疫情后,2020—2021财年,英国政府赤字率达15.3%,是自20世纪60年代以来的最大值。2021—2022财年至2022—2023财年,英国政府赤字率均逾越5%;2023年前三季度赤字率达6.3%,同比扩大2.2个百分点。二是从债务率看,2000—2001财年至2007—2008财年英国政府债务率从84.1%逐步增长至92.6%。海外金融危急后,2009—2010财年至2019—2020财年英国政府债务率均处于120%~200%的黄色预警区间5。疫情后,英国政府债务率于2020—2021财年冲突200%后集结3年位于200%以上,均处于橙色预警区间,其中2020—2021财年达到21世纪的峰值229.6%,是海外金融危急前2007—2008财年的2.3倍。同期,中央政府债务率在疫情影响下波动更为剧烈,2020—2021财年,中央政府债务率达292.7%,一度接近300%,为21世纪峰值。
(二)通胀高企致英国政府债务利息开销翻倍增长,偿债压力激增
一是受通货扩张影响,英国指数挂钩债券利息老本加快攀升。英国指数挂钩债券结合的零卖物价指数(RPI)自2021年4月冲突300以来,不竭快速攀升,在2023年12月创历史峰值379。由于首次刊行量大、债券期限相对较长,同期本金和利息均与RPI挂钩,英国占比逾越25%的指数挂钩债券受通胀影响而本金增多,进一步导致利息老本加快高潮。二是市集对居高不下的通胀率的担忧进一步推高了银行利率预期和英国国债利率。从2000年到2020年6月,英国10年期国债收益率从5.8%降至0.2%,但2021年末,其升至0.8%,2022年末升至3.5%,2023年年中升至4.3%。在疫情及抗通胀布景下,政府禁受刺激性财政政策以提高住户收入水平,导致政府债务余额攀升,并带动利息开销增多。2021—2022财年至2022—2023财年,中央政府债务净利息开销分别为475.52亿英镑、1146.70亿英镑,集结两年净利息开销同比翻倍,占同期财政收入的比重分别升至5.3%、11.5%,首次冲突10%;占同期GDP的比重分别升至2.0%、4.5%,为1949—1950财年以来的最大值。
(三)英国多个地方政府文书骨子性收歇
2018年,英国北安普敦郡把柄《地方政府财政法案》第114条规牍收歇,成为近20年来首个文书收歇的地方政府。而后,克罗伊登、斯劳、诺丁汉、诺森伯兰、瑟罗克、沃金、伯明翰7个地方政府陆续文书收歇。地方政府收歇的主要原因是:第一,英国地方政府穷乏财政自主调整智力。英国财政收入集结于中央政府,而地方财政收入税源少且严重依赖中央转变支付,2000—2001财年至2022—2023财年,英国中央财政收入占世界的比重均超70%。同期,英国地方政府融资智力弱,地方债务融资主要来自从属于英国财政部的专家工程贷款委员会,专家工程贷款委员通晓过转贷来自国债资金的国度贷款基金为地方政府提供近90%的借款。面对频年来财政刚性开销的压力,英国地方政府穷乏财政收入调整和债务融资智力,在财政景色恶化时只可文书收歇。第二,地方政府激进投资失败。克罗伊登、诺丁汉、沃金等地方政府的收歇均与投资失败相干。地方政府动用财政资金参与房地产、动力斥地等投资,而频年来的疫情及高通胀对这些投资形成严重冲击,口头亏损后地方政府文书收歇,市政开支受到严格限定,提税增费、福利改善和基础圭表确立等被暂时扬弃。
(四)英国政府靠近增多开支和削减税收的压力,财政赤字仍将看守高位
把柄英国预算劳动办公室公布的2023年《经济和财政斟酌》说明,英国政府但愿通过增收减支、缓解财政进出矛盾、限度债务增长的方式,已毕在2028—2029财年将专家部门净债务占GDP的比重降至92.8%的中期财政场合。其中,税收收入在将来5个财年平均每年增多507亿英镑,专家财政开销占GDP的比重到2028—2029财年降至42.7%,财政赤字到2027—2028财年将因此减少535亿英镑。但从试验推行情况来看,2023年4—11月,中央政府财政收入较2022年同期增长4.4%,低于2023—2024财年预算安排增速5.9%;财政开销同比增长4.5%,高于2023—2024财年预算安排增速1.0%;2023年1—9月,英国财政赤字为1259亿英镑,已逾越2022年全年的限制,政府债务职守并未缓解。同期,把柄英国预算劳动办公室预测,将来专家财政开销仍靠近多方面的增支需求,包括提高国防开销、已毕样式转变的净零排放政策等。多重身分重复下,英国财政赤字限制仍将在较长一段时安分高位运行。
基于预期爽约率(KMV)模子的英国政府中期债务风险评估
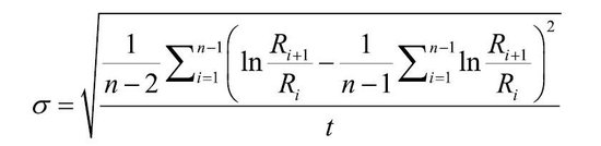
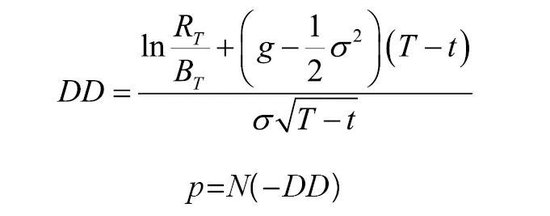
(一)英国政府中期债务风险测算想路
把柄KMV模子想想,用可偿债财政收入RT替换传统KMV模子中企业财富价值,用可偿债财政收入波动率σ替换企业财富价值的波动率,用政府到期应还债务BT替换企业到期应还债务本息,再预估英国政府债务风险的爽约距离和爽约概率。假定T为某一到期日,若RT小于BT,则会发生债务爽约,此时爽约概率p为:p=P(RT<BT)=p[f=(XT)<BT]=P[XT<f-1(BT)]。假定立地变量XT~N(0,1),可得:p=P[XT<f-1(BT)]=N[f-1(BT)]。
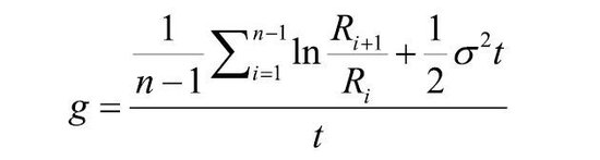
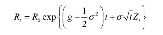
假定可偿债财政收入RT温柔马尔科夫立地历程,那么dRt=gRtdt+σRtdZt,其中g为可偿债财政收入增长率,σ为可偿债财政收入波动率,dZt为维纳增量。
当t>0时,可偿债财政收入可默示为:
再把柄均值和方差的筹备法规不错得到:
因此,英国政府债务的爽约距离和爽约概率可默示为:
(二)英国政府中期债务风险测算历程
一是预见英国可偿债财政收入。把柄英国国度统计局和预算劳动办公室的统计数据,参照国内债务风险测算接洽圭表,英国可偿债财政收入=英国政府财政收入-英国政府财政刚性开销=英国政府财政收入-英国中央政府刚性开销(专家部门开销+健康开销+知道开销+债务利息开销)-英国地方政府刚性开销。以2012—2013财年至2021—2022财年英国可偿债财政收入为基础,诈欺灰色预测模子,即GM(1,1)模子预测可偿债财政收入,得到的回答值与二阶平均弱化缓冲算子处理后的原始值的平均相对症结为0.339%。2022—2023财年、2023—2024财年、2024—2025财年可偿债财政收入的预测值分别为1624.92亿英镑、1607.77亿英镑、1590.79亿英镑。
二是筹备英国政府中期债务爽约概率。把柄英国可偿债财政收入预测值,代入上述KMV模子公式上钩算其增长率和波动率。禁受假定债务比(政府到期应还债务/可偿债财政收入)的圭表建立10%~90%的测算区间,通过Matlab筹备出2022—2023财年至2024—2025财年英国政府债务的爽约概率(见表2)。
(三)英国政府中期债务风险测算结束
参考标准普尔和穆迪公司的评级标准,本文将英国政府债务风险爽约预警值定为0.4%。由表2不错看出,英国政府债务的爽约概率基本小于0.4%。当英国到期应还债务在可偿债财政收入80%以内时,爽约概率均在0.4%的预警值内;但当其普及到可偿债财政收入90%时,爽约概率为0.42%,需翔实债务爽约风险。
由KMV模子实证可知,2022—2023财年至2024—2025财年英国政府债务爽约可能性较小,中期债务可不竭性较好,但也需将英国政府到期应还债务占可偿债财政收入的比例限度在80%以内,即在2022—2023财年、2023—2024财年、2024—2025财年政府到期应还债务应分别低于1462亿英镑、1447亿英镑、1432亿英镑。
对我国驻守化解政府债务风险的启示
(一)地方政府债务:全面范例地方举债算作,妥当化解地方政府债务风险
英国地方政府债务占其政府债务举座余额的比重不及5%,但2018年后由于英国地方政府财政自主调整智力不及、投资失败等原因,仍有8个地方政府文书收歇。与英国不同,把柄《国务院对于2023年度政府债务管制情况的说明》,2023年末我国地方政府法定债务余额为40.74万亿元,占世界政府法定债务余额的比重为57.6%,且存在限制巨大的融资平台债务,部分地区债务风险箝制攀升,必须加强驻守与化解。一是全面范例地方举债算作,结合地方经济实力、债务风险、资金起首等目标细目地区债务名额,将地方政府债务增长限度在合理区间。强化对地方政府债务资金使用和口头确立情况的常态化监管,驻守资金挪用、浪费,加强对融资平台公司的详尽处分,进攻地方隐性债务增量。二是推动财政化债和金融解债,携带地方政府通过刊行再融资债券、国有资源化债、财政资金偿还等财政化债方式,以及债务延期、收歇重组等金融解债方式,缓解地方偿债压力,妥当化解地方债务风险。
(二)政府债务偿付:合理漫衍债务到期时分,优化债务期限结构,裁减债务偿付压力
在高通胀和高利率的压力下,英国占比逾越25%的指数挂钩债券本金增多,并进一步导致其政府债务利息老本加快攀升。频年来,我国政府债券付息限制也不竭增长,在财政进出压力不竭加大、地皮出让收入减少的布景下,部分地区债务还本付息压力较大,亟须裁减债务偿付压力。一是统研究论政府财力和到期债务情况,合理漫衍政府债务到期时分,确保政府到期债务和再融资限制相对褂讪,缓解政府债券集结兑付压力。二是优化政府债务期限结构,充分议论结构性需乞降投资者群体各类性,刊行不同期限债券,看守一个平均期限相对较长的债券组合。同期,结合还本付息设想及口头收益情况统筹作念好再融资债券刊行安排。
(三)政府债务可不竭性:协同鼓吹政府债务管制与经济高质地发展
债务可不竭性是21世纪以来全球靠近的多半问题。总体来看,英国政府债务限制及风险目标在发扬经济体中属于偏低水平,基于KMV模子的测算结束也标明英国政府中期债务可不竭性较好。其根底原因是英国口头经济保持了较快增长,为英国政府债务的可不竭发展提供了财力撑持。刻下,我国经济稳增长仍靠近多重压力,因此,应协同鼓吹政府债务管制与经济高质地发展两手握。一是优化财政开销结构,加大财政开销对提高住户收入水平、提振奢华的支援力度,褂讪旧动能、发展新动能,已毕经济高质地发展及潜在增速追忆,形成经济与财力、债务增长的良性轮回。二是深端倪鼓吹新一轮财税体制修订,深化政府间财政治权和开销劳动区分修订,完善财政转变支付轨制体系,促进各级地方财政权责利的匹配。
注:
1.本文英国政府债务余额和欠债率等数据均来自英国国度统计局、英国预算劳动办公室(OBR)。
2.英国中央政府和地方政府债务余额共计占政府债务余额的比重逾越100%,主若是存在一部分政府间交叉债务。交叉债务的体式主若是中央政府刊行债券后、通过专家工程贷款委员会贷款(PWLB)的体式转贷给地方。
3.指数挂钩债券指本金和利率均盯住零卖价钱指数(RPI)、按照偿付价值记账的金边债券。英国自1981年刊行指数挂钩债券,早期指数挂钩债券与滞后8个月零卖价钱指数挂钩,2005年推出创新的、滞后3个月的指数挂钩债券。
4.英国财政年度从每年4月1日启动,至次年3月31日结束。
5.海外通行债务率预警品级:债务率<120%,绿色预警;120%≤债务率<200%,黄色预警;200%≤债务率<300%,橙色预警;债务率≥300%,红色预警。
参考文件
[1] 池柳怡,张独力,吴泽华,张雪妍.英国地方政府债务组成特征及监管接洽[J].财政科学,2021(1).
[2] 李明,龙小燕.发扬经济体地方政府债务监管训戒与启示[J].地方财政接洽,2019(5).
[3] 郑之杰.主权债务危急与融资风险接洽——基于中国和其他世界主要经济体的想考[J].学术前沿,2018(4).
[4] 中国东谈主民银行武汉分行国库处课题组.从英日地方债务管制的训戒谈我国央行在地方债务管制中的作用[J].武汉金融,2012(10).
海量资讯、精确解读,尽在新浪财经APP
劳动裁剪:赵想远 世博体育
|